विकास कामे माहिती

vikas-kame-DwCcZUVzr28694_728563_1760696266199

vikas-kame-R1808595073_460606_1760696291943

ग्रामपंचायत लासलगांव माझी वसुंधरा अभियान
ग्रामपंचायत लासलगांव माझी वसुंधरा अभियान ५,० शपथ
ग्रामपंचायत लासलगांव माझी वसुंधरा अभियान ५,० शपथ

ग्रामपंचायत लासलगांव माझी वसुंधरा अभियान ५,० शपथ

ग्रामपंचायत लासलगांव माझी वसुंधरा अभियान ५,०

ग्रामपंचायत लासलगांव माझी वसुंधरा ५ अंतर्गत रास्ता खडीकरण

ग्रामपंचायत लासलगांव माझी वसुंधरा ५ अंतर्गत रोपवाटिका

ग्रामपंचायत लासलगांव माझी वसुंधरा ५,० अंतर्गत Bio West

ग्रामपंचायत लासलगांव माझी वसुंधरा ५,० अंतर्गत आकाश घटक अंतर्गत प्रचार प्रसिद्धी
ग्रामपंचायत लासलगांव माझी वसुंधरा ५,० अंतर्गत दत्त मंदिर पाण्याची टाकी प्रचार प्रसिद्धी
ग्रामपंचायत लासलगांव माझी वसुंधरा ५,० अंतर्गत पाटील गल्ली सोलर दिवे

ग्रामपंचायत लासलगांव माझी वसुंधरा ५,० अंतर्गत पाण्याची टाकी रंगकाम
ग्रामपंचायत लासलगांव माझी वसुंधरा ५,० अंतर्गत भूमी थिम वृक्ष लागवड
ग्रामपंचायत लासलगांव माझी वसुंधरा ५,० अंतर्गत रास्ता खडीकरण करणे

ग्रामपंचायत लासलगांव माझी वसुंधरा ५,० अंतर्गत रास्ता खडीकरण

ग्रामपंचायत लासलगांव माझी वसुंधरा ५,० अंतर्गत रोपवाटिका

ग्रामपंचायत लासलगांव माझी वसुंधरा ५,० अंतर्गत शपथ
ग्रामपंचायत लासलगांव माझी वसुंधरा ५,० अभियान
माझी वसुंधरा अभियान ५ ग्रा, पं, लासलगाव लोक जैवविविधता PBR नोंद वही
माझी वसुंधरा अभियान ५ ग्रा, पं, लासलगाव हद्दीतील नोटीस बोर्डवरील दिलेली प्रसिद्धी

माझी वसुंधरा अभियान ५ ग्रा, पं, लासलगाव हेरिटेज ट्री यादी

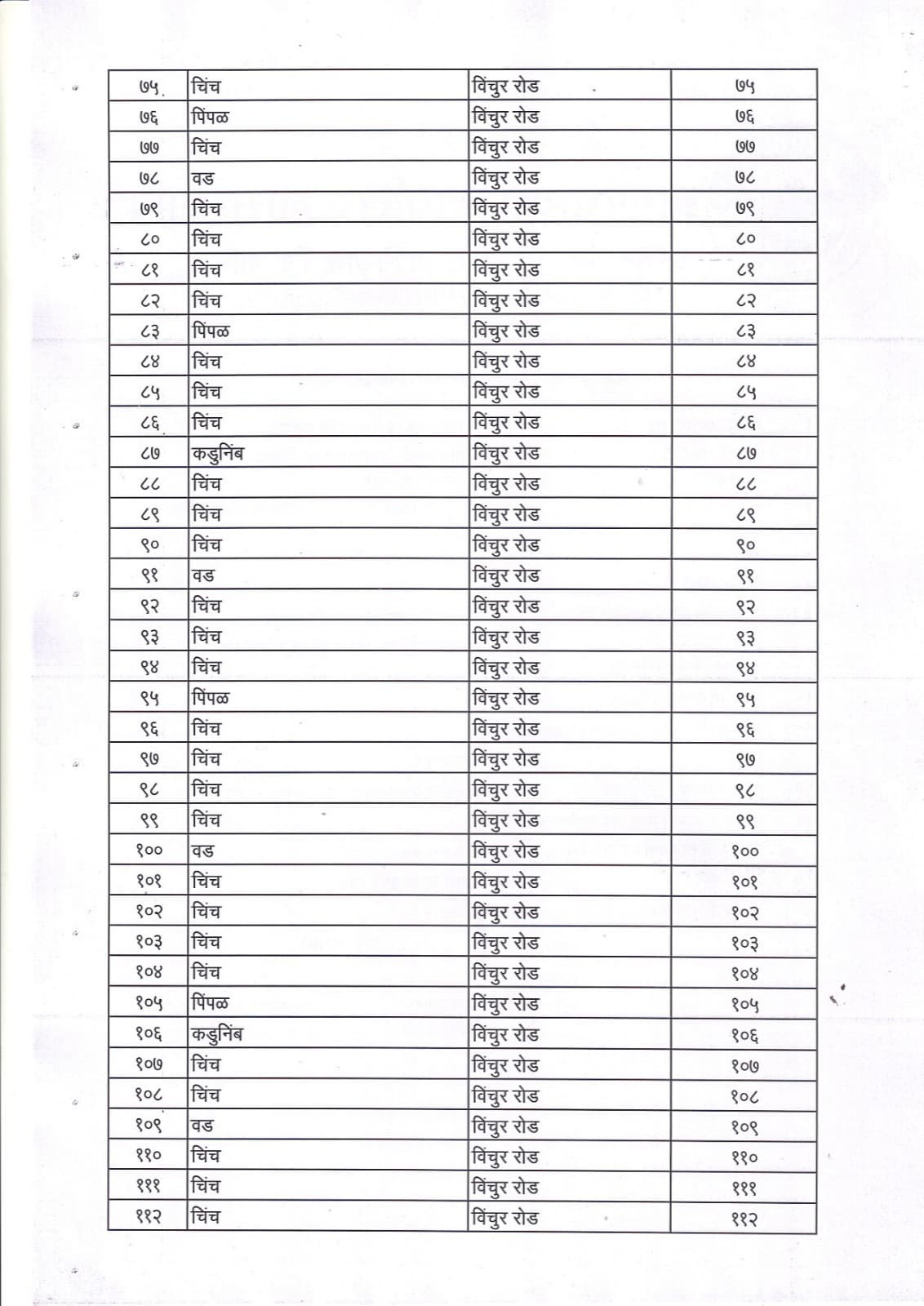
वृक्ष गणना नोंद व प्रसिद्ध यादी - 1

वृक्ष गणना नोंद व प्रसिद्ध यादी - 2

वृक्ष गणना नोंद व प्रसिद्ध यादी - 3

वृक्ष गणना नोंद व प्रसिद्ध यादी - 4

वृक्ष गणना नोंद व प्रसिद्ध यादी - 5

वृक्ष गणना नोंद व प्रसिद्ध यादी - 6

वृक्ष गणना नोंद व प्रसिद्ध यादी - 7

वृक्ष गणना नोंद व प्रसिद्ध यादी - 8

वृक्ष गणना नोंद व प्रसिद्ध यादी - 9

वृक्ष गणना नोंद व प्रसिद्ध यादी - 10